聚氨酯 是什么
的有关信息介绍如下:聚氨酯,是在大分子主链中含有氨基甲酸酯基的聚合物称为聚氨基甲酸酯,简称聚氨酯。聚氨酯分为聚酯型聚氨酯和聚醚型聚氨酯两大类。聚酯型是以二异氰酸酯和端羟基聚酯为原料制备的聚氨酯。聚醚型聚氨酯是以二异氰酸酯和端羟基聚醚为原料制备的聚氨酯。
合成聚氨酯的原料
合成聚氨酯的主要原料是有机多元异氰酸酯和端羟基化合物。
异氰酸酯
应用于聚氨酯树脂的有机多元异氰酸酯,按-NCO基团的数目可分为二元异氰酸酯、三元异氰酸酯及聚合型异氰酸酯三大类。其中最重要的是甲苯二异氰酸酯,共有3种规格:
TDI一100:含100%的2,4一甲苯二异氰酸酯。
TDI一80:含80%的2,4一甲苯二异氰酸酯,20%的2,6一甲苯二异氰酸酯。
TDI一65:含65%的2,4一甲苯二异氰酸酯,35%的2,6一甲苯二异氰酸酯。
这3种规格的TDI是由于原料甲苯二胺的制法不同分别制得的。
端羟基化合物
端羟基化合物有两类,即端羟基聚酯和端羟基聚醚。
①端羟基聚酯二元酸和过量的二元醇经混缩聚反应制得,其相对分子质量为1000~3000的蜡状或液态低聚物。聚合反应简式可表示为:

②端羟基聚醚端羟基聚醚是以环氧乙烷、环氧丙烷或四氢呋喃等环氧化合物为单体,用丙二醇、丁二醇、甘油等化合物为起始剂,经离子开环聚合反应制得。
如端羟基聚四氢呋哺的制备:四氢呋喃为五元环单体,环张力较小,聚合活性较低,反应速度较慢,在较强的含氢酸高氯酸催化作用下,用醋酸酐作载体,进行阳离子开环聚合,可以合成相对分子质量为1000~3000的端羟基聚四氢呋喃。
反应简式可表示为:

聚氨酯合成原理
合成聚氨酯的反应包括初级反应和次级反应。
初级反应
初级反应包括预聚反应和扩链反应。
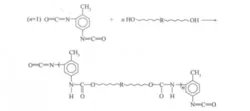
①预聚反应端羟基聚合物和过量的二异氰酸酯通过逐步加成聚合反应生成含有异氰酸基端基-N=C=O的低聚体的反应,反应简式为:

②扩链反应预聚体与含有活泼氢的化合物(如水、胺类和联苯胺类等化合物)反应生成取代脲基,使相对分子质量增加。扩链反应只与预聚体的端基有关,扩链反应可表示为:

次级反应
次级反应包括两种,即生成脲基甲酸酯基的反应和生成缩二脲基的反应。
①生成脲基甲酸酯基的反应体系中存在的过量的-NCO端基和主链上的氨基甲酸酯基-NHCOO-反应生成脲基甲酸酯基而交联:

②生成缩二脲基的反应体系中存在的过量的-N=C=O端基和扩链反应中形成的取代脲基-NHCONH-反应,生成缩二脲基而交联,即

通过次级反应,聚合物的分子结构由线型结构变为体型结构,因此,次级反应也就是固化反应。由于反应条件不同、二异氰酸酯的种类不同、二异氰酸酯与端羟基化合物的比例不同、端羟基化合物的种类、端羟基化合物的相对分子质量不同,聚氨酯的结构有很大差别。
因此,聚氨酯的结构也很难用一个确切的结构式表示。但其大分子结构中必定有异氰酸酯端基、酯基或醚键、氨基甲酸酯基、取代脲基、脲基甲酸酯基和缩二脲基。
聚氨酯的性能及应用
由于聚氨酯大分子中含有的基团都是强极性基团,而且大分子中还含有聚醚或聚酯柔性链段,使得聚氨酯具有以下特点:
①较高的机械强度和氧化稳定性;
②具有较高的柔曲性和回弹性;
③具有优良的耐油性、耐溶剂性、耐水性和耐火性。
由于聚氨酯具有很多优异的性能,所以其具有广泛的用途。
聚氨酯主要用作聚氨酯合成革、聚氨酯泡沫塑料、聚氨酯涂料、聚氨酯粘合剂、聚氨酯橡胶(弹性体)和聚氨酯纤维等。此外,聚氨酯还用于土建、地址钻探,采矿和石油工程中,起堵水、稳固建筑物或路基的作用;作为铺面材料,用于运动场的跑道、建筑物的室内地板等。
聚胺酯(英语:Polyurethane,IUPAC缩写为PUR,一般缩写为PU),是指主链中含有氨基甲酸酯特征单元的一类高分子材料。
这种高分子材料广泛用于黏合剂,涂层,低速轮胎,垫圈,车垫等工业领域。在日常生活领域聚氨酯被用来制造各种泡沫和塑料海绵。
聚氨酯还被用于制造避孕套(对乳胶避孕套过敏的人适用)和医用器材和材料。由于聚氨酯具有非常低的导热系数,其材料为基础的新型墙体保温材料开始在欧美等西方国家逐步发展成熟。

扩展资料化学性质:
聚氨酯抗多种酸碱和有机溶剂腐蚀,因此经常被用在橡胶制品在恶劣环境下的替代品。
物理性质:
聚氨酯的力学性能具有很大的可调性。通过控制结晶的硬段和不结晶的软段之间的比例,聚氨酯可以获得不同的力学性能。因此其制品具有耐磨、耐温、密封、隔音、加工性能好、可降解等优异性能。
回收:
聚氨酯材料在自然条件下极难分解,现在广泛采用的处理方法是燃烧法,燃烧后的气体经过水,以溶解其中的NO2等易溶解的有毒物质,在燃烧过程中还会生成氰氢酸(HCN),氰氢酸易溶于水,产生的CN-根有剧毒,所以通过燃烧废气的水要经过特殊处理。
参考资料来源:
聚氨酯材料是目前国际上性能最好的保温材料。主链含—NHCOO—重复结构单元的一类聚合物 。英文缩写PU。由异氰酸酯(单体)与羟基化合物聚合而成。由于含强极性的氨基甲酸酯基,不溶于非极性基团,具有良好的耐油性、韧性、耐磨性、耐老化性和粘合性。用不同原料可制得适应较宽温度范围 (-50~150℃) 的材料 ,包括弹性体、热塑性树脂和热固性树脂。高温下不耐水解,亦不耐碱性介质。
常用的单体如甲苯二异氰酸酯、二苯甲烷二异氰酸酯等。多元醇分3类:简单多元醇(乙二醇、丙三醇等) ;含末端羟基的聚酯低聚物,用来制备聚酯型聚氨酯;含末端羟基的聚醚低聚物,用来制备聚醚型聚氨酯。聚合方法随材料性质而不同。合成弹性体时先制备低分子量二元醇,再与过量芳香族或者脂肪族异氰酸酯反应,生成异氰酸根(-NCO)为端基的预聚物,再同多元醇扩链,得到热塑弹性体;若用二元胺扩链并进一步交联,得到浇铸型弹性体。预聚物用肼或二元胺扩链,得到弹性纤维;异氰酸酯过量较多的预聚体与催化剂、发泡剂混合,可直接得到硬质泡沫塑料。如将单体、聚醚、水、催化剂等混合,一步反应即可得到软质泡沫塑料。单体与多元醇在溶液中反应,可得到涂料;胶粘剂则以多异氰酸酯单体和低分子量聚酯或聚醚在使用时混合并进行反应。
聚氨酯弹性体用作滚筒、传送带、软管、汽车零件、鞋底、合成皮革、电线电缆和医用人工脏器等;软质泡沫体用于车辆、居室 、服装的衬垫 ,硬质泡沫体用作隔热 、吸音、包装、绝缘以及低发泡合成木材,涂料用于高级车辆、家具、木和金属防护,水池水坝和建筑防渗漏材料,以及织物涂层等。胶粘剂对金属、玻璃、陶瓷、皮革、纤维等都有良好的粘着力。此外聚氨酯还可制成乳液、磁性材料等。
聚氨酯(PUR)是指在分子主链上含有较多氨基甲酸酯基团特征结构的一大类聚合物,是一种介于塑料和橡胶之间的高分子材料,它的伸长率大、硬度范围宽,配方调整范围大,具有优异的耐磨性和力学性能。而浇注型聚氨酯弹性体(CPUR),是聚氨酯弹性体三大加工类型中最重要的一种,其用量占PUR量的6o% ,它具有化学结构多元化、粘度易调整,加工工艺优良、易投入工业化生产、使用方便和固化快等优点,因此非常适合于制作大型复杂构件。聚氨酯耐磨衬板就是采用浇注型聚氨酯弹性体工艺方式生产加工而成。 聚氨酯为大分子链中含有氨酯型重复结构单元的一类聚合物,全称为聚氨基酸酯,英文全称为polyurethane,简称PU或PUR。PU是由多异氰酸酯与聚醚型或聚酯型多元醇在一定比例下反映的产物。
PU弹性体的性能: PU弹性体的性能介于塑多元醇合成的PU弹性体的性能稍有差异。聚酯型PU的力学性能高,耐油性好,但耐水性较差;聚醚型PU的耐低温性及耐水解性优于聚酯型,但耐油性,力学性能稍差一点。
PU的力学性能: PU弹性体的硬度变化范围比较宽,可以邵氏A10到D80,断裂伸长率高达600%~~800%。而天然橡胶的最高邵氏硬度仅为A70,断裂伸长率为550%。 PU弹性体的撕裂强度较高,比天然橡胶大2~~5倍。PU弹性体的回弹性高,减震效果好。PU弹性体的耐磨性好,为天然橡胶的3~~10倍。
特点
编辑
1、硬度范围宽。在高硬度下仍具有橡胶的伸长率和回弹性。聚氨酯板的硬度范围为邵氏A10-D80。
2、强度高。在橡胶硬度下它们的扯断强度、撕裂强度和承载能力比通用橡胶高得多。在高硬度下其冲击强度和弯曲强度又比塑料高得多。
3、耐磨。其耐磨性能非常杰出,一般在0.01-0.10(cm3)/1.61km范围内,约为橡胶的3-5倍。
4、耐油。聚氨酯板是一种强极性高分子化合物,和非极性矿物油的亲和性小,在燃料油和机械油中几乎不受侵蚀。
5、耐氧和臭氧性能好。
6、吸振性能优良,可做减振、缓冲作用。在模具制造业中,替代橡胶及弹簧。
7、具有良好的低温性能。
8、耐辐射性能。聚氨酯耐高能射线的性能很好,在10-10戈辐射剂量下仍具有满意的使用性能。
9、具有良好的机械加工性能。(车、铣、磨、钻均可)
原料组成及测试
编辑
1. 主要原料
聚醚多元醇 ,聚醚多元醇工业品; 异氰酸酯 (工业品),固化剂, 阻燃助剂,抗静电助剂,颜料,增强材料。
2 .设备:原料反应釜,浇注设备,真空设备、硫化设备,加热设备,模具等。
3. 测试方法
橡胶硬度计
表面绝缘电阻测试仪
酒精喷灯燃烧实验箱
滚动式磨耗机
电脑拉力试验机
聚氨酯预聚反应
编辑
1、所有-OH都用二异氰酸酯封闭,形成中间有聚醚、聚酯或聚氨酯的大的二异氰酸酯。
2、固化反应。
3、聚氨酯预聚体应贮存在阴凉通风处,不得在太阳下爆晒,装在铁桶或塑料桶中,一定要密封好,不得漏气,不能随便乱打开密闭盖,密闭盖打开时应随时密闭。经常开盖又密闭的预聚体,表面要结一层皮状物,那是开盖之后,空气中水进入预聚体表面,同异氰酸酯反应的结果,产生二氧化碳和脲。当前我国的聚醚多元醇何多异氰酸酯生产技术大都是在日本、美国、德国、英国等发达国家引进的,比从前我们自己研制的聚醚多元醇和多异氰酸酯在质量上有保证。所制作的预聚体的贮存期同国外生产的预聚体的贮存期差不多一样,都是贮存期为一年。
聚氨酯预聚体在贮存过程中,预聚体中的-NCO和预聚体中的脲基、氨基甲酸酯等含活泼氢的基团有所反应,所以应用时必须随时进行分析其-NCO%的含量。
4、物理结构的影响。
5.介电性能
聚氨酯产品具有优良的介电性能,而耐磨衬板却需要产品本身具有非常好的抗静电性能,最好做到半导电性能,这样才能把卸料过程中产生的大量的静电荷释放掉,否则过多的静电荷与原料中的大量灰尘接触,将可能产生粉尘爆炸,造成生产事故,给港口企业带来巨大的损失。
耐磨衬板的设计
编辑
耐磨衬板是根据使用环境和要求进行产品设计的,最早筒仓内溜管内使用的耐磨衬板都是采用PE材料制作安装的,但在使用中,PE衬板不耐磨,使用寿命短,导致使用单位经常更换,非常不方便,而且影响正常的进货和出货。PE材料硬度非常高,粮食等食品原料在装卸过程中,与PU衬板接触的部分,粮食会大量破碎,严重影响粮食的质量。因此聚氨酯型耐磨衬板应运而生,聚氨酯耐磨衬板作为一种弹性体产品,具有非常高的耐磨性和回弹缓冲性能。
1. 选用原料:不同的多元醇原料具有不同的分子结构和分子量,不同多元醇之间的性能差距很大,使用的环境和要求是不一样的,各自具有独特的特点和最佳应用范围。聚酯型的多元醇耐磨、耐腐蚀,耐油性好,机械强度高,耐老化性能较好。聚醚型多元醇具有较好的回弹性和低温柔顺性能,还具有很好的水解稳定性和耐霉菌性能。固化剂体系众多,不同的配方体系使用不同的性能要求,选用不同体系不仅取决于产品的性能要求,也受控于产品的价格。耐磨衬板的耐磨性能个回弹性能就是根据选用的原料来决定的。
2. 阻燃性能和抗静电性能指标,直接与选用的助剂有关系,在国内生产、销售各类助剂的厂家和企业数以千计,但那些助剂符合我们配方需要,适合我们使用而又不影响聚氨酯的内在性能?鹏博盛公司做了无数次的试验,尝试了几百中不同的阻燃剂和抗静电助剂,从中筛选出了适合我们配方体系的助剂。选择合适的添加量,既能使助剂的性能充分发挥出来,达到阻燃和抗静电的设计指标,又不能损失聚氨酯的优势性能。
3. 生产工艺设计
耐磨衬板的配方设计好,最重要的是如何实现批量的生产,聚氨酯有其本身的反应特点,它的反应活性大,反应时间短,相应的操作时间非常短,如何能把产品浇注成大张的平板,就是工艺设计的关键。聚氨酯原料混合反应前,要进行加热,加热温度的高低与反应速度也有关系,温度低,原料的黏度大,原料混合不均匀,产品质量下降;温度过高,反应速度太快,操作难度加大,废品率很高,直接影响产品成本。
聚氨酯板是指完全由PU制成,或是由PU 和彩钢板复合形成的聚氨酯夹芯板,主要用于工业、民用建筑外保温系统,目前已成为PU使用最广泛的产品体系。
聚氨酯材料是目前国际上性能最好的保温材料。主链含—NHCOO—重复结构单元的一类聚合物 。英文缩写PU。由异氰酸酯(单体)与羟基化合物聚合而成。由于含强极性的氨基甲酸酯基,不溶于非极性基团,具有良好的耐油性、韧性、耐磨性、耐老化性和粘合性。用不同原料可制得适应较宽温度范围 (-50~150℃) 的材料 ,包括弹性体、热塑性树脂和热固性树脂。高温下不耐水解,亦不耐碱性介质。 常用的单体如甲苯二异氰酸酯、二异氰酸酯二苯甲烷等。多元醇分3类:简单多元醇(乙二醇、丙三醇等) ;含末端羟基的聚酯低聚物,用来制备聚酯型聚氨酯;含末端羟基的聚醚低聚物,用来制备聚醚型聚氨酯。聚合方法随材料性质而不同。合成弹性体时先制备低分子量二元醇,再与过量芳族异氰酸酯反应,生成异氰酸酯为端基的预聚物,再同丁二醇扩链,得到热塑弹性体;若用芳族二胺扩链并进一步交联,得到浇铸型弹性体。预聚物用肼或二元胺扩链,得到弹性纤维;异氰酸酯过量较多的预聚体与催化剂、发泡剂混合,可直接得到硬质泡沫塑料。如将单体、聚醚、水、催化剂等混合,一步反应即可得到软质泡沫塑料。单体与多元醇在溶液中反应,可得到涂料;胶粘剂则以多异氰酸酯单体和低分子量聚酯或聚醚在使用时混合并进行反应。 聚氨酯弹性体用作滚筒、传送带、软管、汽车零件、鞋底、合成皮革、电线电缆和医用人工脏器等;软质泡沫体用于车辆、居室 、服装的衬垫 ,硬质泡沫体用作隔热 、吸音、包装、绝缘以及低发泡合成木材,涂料用于高级车辆、家具、木和金属防护,水池水坝和建筑防渗漏材料,以及织物涂层等。胶粘剂对金属、玻璃、陶瓷、皮革、纤维等都有良好的粘着力。此外聚氨酯还可制成乳液、磁性材料等。


